Jaringan meristem adalah tersusun atas sel sel yang selalu membelah. Jaringan meristem tumbuh ini fungsinya melakukan pembelahan sel tubuh pada suatu tumbuhan didapati 2 titik tumbuh yaitu titik tumbuh akar dan titik tumbuh batang.
![]()
Daun Wikipedia Bahasa Indonesia Ensiklopedia Bebas - Source
Download Ciri Ciri Sel Tumbuhan Berfungsi Untuk Fotosintesis

Ciri ciri sel tumbuhan berfungsi untuk fotosintesis. Contoh organel yang hanya terdapat pada sel tumbuhan adalah dinding sel dan plastida. Pada artikel ini kamu akan mendapatkan penjelasan tentang sel tumbuhan organel atau bagian bagiannnya fungsinya dan lengkap dengan gambar gambarnya. Struktur jaringan tumbuhan beserta ciri fungsinya.
Dijelaskan diatas organel kloroplas adalah salah satu jenis organel plastida pada sel tumbuhan yang berfungsi untuk fotosintesis. Klorofil ini berfungsi untuk menangkap cahaya sebagai sumber energy utama dalam fotosintesis. Sebagai contoh kloroplast pada tunas jagung memiliki volume 20 μm3.
Dinding sel berfungsi untuk perlindungan dan plastida klorofil berfungsi untuk fotosintesis. Ciri khas sel tumbuhan yaitu terdiri dari organel dan sitoplasma. Ciri ciri sel tumbuhan yang berfungsi untuk fotosintesis adalah memiliki kloroplaskloroplas merupakan jenis plastida yang mengandung klorofil.
Sel ini berfungsi untuk mengangkut air dan zat hara dari tanah akar menuju daun untuk melakukan fotosintesissel xilem pertama kali muncul pada tanaman sejak 425 juta tahun yang lalu. Sel xilem adalah sel yang mengalami lignifikasi dinding sel. Struktur organel kloroplas biasanya memiliki diamater 3 10 μm dengan ketebalan 1 3 μm.
Ciri khas sel tumbuhan yaitu terdiri dari organel dan sitoplasma. Sel xilem pertama kali muncul pada tanaman sejak 425 juta tahun yang lalu. Sel xilem adalah sel yang mengalami lignifikasi dinding sel.
Jaringan tumbuhan merupakan jaringan yang tersusun atas sel sel yang mempunyai kemampuan titopotensial yang berbeda dengan jaringan hewan jaringan tumbuhan merupakan jaringan yang mempunyai kemampuan jika organisme tumbuhan ini dapat memperbanyak diri dengan negativ menginat kemampuan tubuh tumuhan terdiri dari sel sel nurhayati 2012 p6. Pengertian jaringan tumbuhan menurut para ahli. Sel ini berfungsi untuk mengangkut air dan zat hara dari tanah akar menuju daun untuk melakukan fotosintesis.
Untuk lebih jelasnya imak penjelasan dibawah ini. Ciri khas sel tumbuhan yaitu terdiri dari organel dan sitoplasma dimana semua organel kecuali inti sel atau neukleus dan struktur subselular yang ada di dalam sitoplasma akan tertutup oleh membran sel atau dinding sel sebagai lapisan pelindung.
Soa Biologi - Source

Jaringan Epidermis Letak Fungsi Ciri Jenis Struktur - Source

Perbedaan Sel Hewan Dan Sel Tumbuhan Dalam Bentuk Tabel Gambar - Source
Kisi Kisi Biologi - Source

Jaringan Xilem Dan Floem Beserta Fungsinya Biologycoid - Source
Biologikingdom Plantae - Source

31 Organ Pernafsan Yang - Source

Jaringan Parenkim Ciri Ciri Dan Jenis Jenisnya Pada Tumbuhan - Source

Jaringan Parenkim Pengertian Ciri Ciri Fungsinya - Source
10 Struktur Dan Fungsi Kloroplas Lengkap Penjelasannya - Source

Organel Sel Tumbuhan Struktur Gambar Fungsi Lengkap - Source

Pengertian Kloroplas Struktur Dan Fungsi Kloroplas Ilmu - Source

10 Manfaat Dan Fungsi Cahaya Matahari Bagi Tumbuhan - Source

Sel Tumbuhan Pengertian Fungsi Bagian Organel Dan - Source

Manakah Yang Dapat Bertahan Hidup Lebih Lama Sel Hewan Atau - Source

Bab I Sel Tumbuhan Ciri Sel Hidup Ppt Download - Source

8 Soal Dan Jawaban Organel Sel Tumbuhan Dan Hewan - Source

Contoh Soal Struktur Dan Fungsi Jaringan Tumbuhan Idschool - Source

Perbedaan Sel Hewan Dan Sel Tumbuhan Pembahasan Lengkap - Source

Sel Tumbuhan Pengertian Ciri Tipe Struktur Gambar Dan - Source

Kingdom Plantae K546ep50pxl8 - Source

Plastida Pengertian Fungsi Struktur Jenis Dan Gambar - Source

Struktur Dan Fungsi Jaringan Dan Organ Tumbuhan Respirasi - Source

Jaringan Apakah Yang Ditunjukkan Gambar Disamping Sebutkan - Source

Sel Hewan Sel Tumbuhan Beserta Gambarnya - Source

Kloroplas Pengertian Fungsi Ciri Cara Manfaat Skema - Source

Bab I Sel Tumbuhan Ciri Sel Hidup Ppt Download - Source
Resume Buku Sekolahnya Manusia Oleh Munif Chatib - Source

Perbedaan Sel Hewan Dan Sel Tumbuhan Lengkap - Source

Jaringan Kolenkim Ciri Fungsi Letak Struktur Susunan - Source

Pengertian Jaringan Penguat Kolenkim Dan Sklerenkim Ciri - Source

Fungsi Amiloplas Pengertian Struktur Ciri Membran Dan - Source

Jaringan Tumbuhan Pengertian Struktur Gambar Ciri Contoh - Source

Latihan Paket Biologi Persiapan Un 2019a - Source

Fotosintesis Pengertian Proses Faktor Fungsi Hasil - Source

Jaringan Parenkim Pengertian Struktur Gambar Fungsi - Source

Perbedaan Sel Hewan Dan Sel Tumbuhan Lengkap - Source

Jaringan Parenkim Jenis Struktur Ciri Sifat Fungsi - Source

Ciri Umum Kingdom Plantae Tumbuhan Tugas Sekolah - Source

Bagian Yang Berfungsi Mengedarkan Fotosintesis Ke Seluruh - Source

Pengertian Kloroplas Adalah Ciri Fungsi Kloroplas - Source

Perbedaan Sel Hewan Dan Sel Tumbuhan Beserta Penjelasan Dan - Source

Sel Tumbuhan Struktur Fungsi Ciri Ciri Organel Dan - Source

6 Jaringan Tumbuhan Lengkap Halaman All Kompasianacom - Source
Mengenal Kerajaan Tumbuhan - Source

11 Sel Tumbuhan Dan Fungsinya Lentera Mata - Source
:strip_icc():format(jpeg)/kly-media-production/medias/2869765/original/017425500_1564639486-iStock-846380970.jpg)
Mengenal Fungsi Epidermis Ciri Ciri Dan Bentuknya Pada - Source

Fungsi Dan Struktur Daun Tumbuhan - Source

Jaringan Epidermis Ciri Struktur Contoh Derivat Bentuk - Source

Sel Tumbuhan Gambar Organel Fungsi Tipe Jaringan Dan - Source
Sel Tumbuhan Dan Fungsinya Beserta Gambar Organel Organel Sel - Source

Kingdom Plantae Pengertian Ciri Ciri Klasifikasi Gambar - Source
Ciri Ciri Makhluk Hidup Mindmeister Mind Map - Source

10 Struktur Dan Fungsi Organel Organel Sel Terlengkap - Source
Struktur Tubuh Tumbuhan Science Quiz Quizizz - Source

Bentuk Sel Tumbuhan Dan Hewan Berangkat Dari - Source

Sel Tumbuhan Jenis Struktur Bagian Gambar Fungsi Ciri - Source
![]()
Contoh Soal Ulangan Harian Sel Kelas Xi - Source

11 Sel Tumbuhan Dan Fungsinya Lentera Mata - Source

Daun Wikipedia Bahasa Indonesia Ensiklopedia Bebas - Source

Jaringan Dewasa Pada Tumbuhan Ppt Download - Source

Jaringan Parenkim Ciri Ciri Dan Jenis Jenisnya Pada Tumbuhan - Source

Organel Sel Tumbuhan Dan Fungsinya Artikelsiana - Source

Jaringan Parenkim Struktur Fungsi Gambar Ciri Sifat Jenis - Source
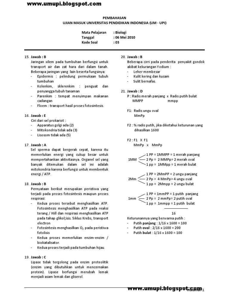
Bahas Soal Um Upi 2010 Biologi03 - Source

Ujian Akhir Nasional Tahun 2006 Biologi - Source

Pengertian Makhluk Hidup Klasifikasi Dan Ciri Ciri Makhluk - Source

Kloroplas Pengertian Fungsi Cara Kerja Ciri Dan Manfaatnya - Source

Materi Pertumbuhan Dan Perkembangan Tumbuhan - Source

11 Sel Tumbuhan Dan Fungsinya Lentera Mata - Source

Pengertian Jaringan Parenkim Ciri Fungsi Struktur Letak - Source

Sel Manakah Yang Dapat Bermutasi Lebih Mudah Halaman All - Source

Tuliskan Fungsi Masing Masing Sel Hewan Dan Tumbuhan - Source

Meristem Apikal Pengertian Fungsi Dan Ciri Cirinya - Source

Spermatophyta Pengertian Ciri Ciri Reproduksi - Source

Fakta Terbaik Sel Tumbuhan Dan Penjelasannya Pinterkelas - Source

Organel Sel Hewan Fungsi Struktur Gambar Lengkap - Source
Perhatikan Gambar Tumbuhan Dibawah Ini Ciri Ciri Dan Fungsi - Source
Biologi Jaringan - Source
No comments:
Post a Comment